掃一掃加入微信交流群
與考生自由互動、并且能直接與專業老師進行交流、解答。
關注公眾號
服務時間08:00-24:00
免費課程/題庫
微信掃一掃
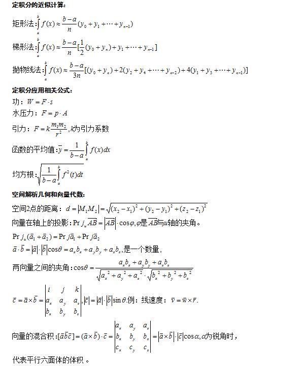
【導讀】今天福州成考網為考生們整理了2021年福建省成人高考專升本考試中高等數學(一)公式大全,幫助大家好好的復習。
高等數學(一)復習重點:1、極限部分 2、求導部分 3、積分部分(定積分及不定積分) 4、求偏導部分。這四部分的分值基本占到總分值的60%,而且是全書中相對最簡單的內容,所有同學要優先復習此部分,把這部分知識點一定要搞懂弄會。下面是從教材中整理出的公式,大家可以參照復習!




以上就是2021年福建省成人高考專升本高等數學(一)公式大全的所有內容,想了解更多關于福州成考信息,可咨詢我們【在線老師】,將為您提供更多的福州成考報考指南等相關信息。
成人高考院校專業指導專屬提升方案
未經授權不得轉載,如需轉載請注明出處。
轉載請注明:文章轉載自 其它本文關鍵詞: 福建省成人高考 專升本 高等數學(一)
福州成考網申明:
(一)由于各方面情況的調整與變化本網提供的考試信息僅供參考,敬請以教育考試院及院校官方公布的正式信息為準。
(二)本網注明信息來源為其他媒體的稿件均為轉載體,免費轉載出于非商業性學習目的,版權歸原作者所有。如有內容與版權問題等請與本站聯系。聯系方式:郵件429504262@qq.com
上一篇:2021年福建福州成人高考專升本大學語文復習重點(一)
下一篇:2021年福建省成人高考專升本高等數學(二)公式大全