掃一掃加入微信交流群
與考生自由互動、并且能直接與專業老師進行交流、解答。
關注公眾號
服務時間08:00-24:00
免費課程/題庫
微信掃一掃
【導讀】福州成人高考網在下文為考生帶來歷年福建成人高考高起本數學選擇題真題及答案,供考生練習與參考。
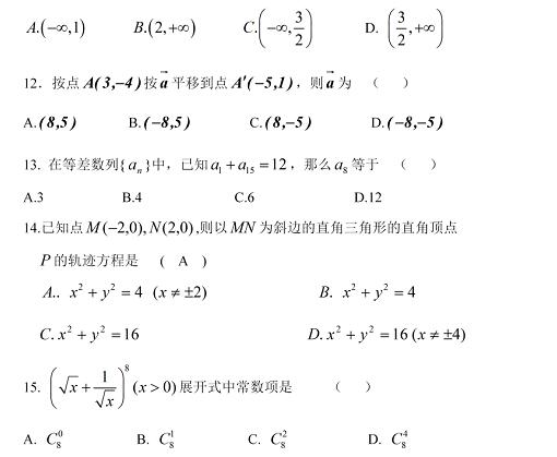
選擇題:本大題共15小題;每小題5分,共75分,在每小題給出的四個選項中,只有一項是符合題目要求的。


1、A:
2、A:
3、B;
4、A;
5、B:
6、B;
7、C:
8、D:
9、D:
10、B;
11、A;
l2、B:
13、C:
14、A;
15、D.
————更多福州成人高考試題題庫高起本———
成人高考院校專業指導專屬提升方案
未經授權不得轉載,如需轉載請注明出處。
轉載請注明:文章轉載自 其它本文關鍵詞: 福建成人高考高起本試題 福州成人高考試題題庫高起本 數學
福州成考網申明:
(一)由于各方面情況的調整與變化本網提供的考試信息僅供參考,敬請以教育考試院及院校官方公布的正式信息為準。
(二)本網注明信息來源為其他媒體的稿件均為轉載體,免費轉載出于非商業性學習目的,版權歸原作者所有。如有內容與版權問題等請與本站聯系。聯系方式:郵件429504262@qq.com
上一篇:歷年福建成人高考高起本考試真題及答案解析:語文(二)
下一篇:歷年福建成人高考高起本考試真題及答案解析:語文(三)